
contentanalysis is a comprehensive R package designed
for in-depth analysis of scientific literature. It bridges the gap
between raw PDF documents and structured, analyzable data by combining
advanced text extraction, citation analysis, and bibliometric enrichment
from external databases.
AI-Enhanced PDF Import: The package supports AI-assisted PDF text extraction through Google’s Gemini API, enabling more accurate parsing of complex document layouts. To use this feature, you need to obtain an API key from Google AI Studio.
Integration with bibliometrix: This package
complements the science mapping analyses available in
bibliometrix and its Shiny interface
biblioshiny. If you want to perform content analysis within
a user-friendly Shiny application with all the advantages of an
interactive interface, simply install bibliometrix and
launch biblioshiny, where you’ll find a dedicated
Content Analysis menu that implements all the analyses
and outputs of this library.
The package goes beyond simple PDF parsing by creating a multi-layered analytical framework:
Intelligent PDF Processing: Extracts text from multi-column PDFs while preserving document structure (sections, paragraphs, references)
Citation Intelligence: Detects and extracts citations in multiple formats (numbered, author-year, narrative, parenthetical) and maps them to their precise locations in the document
Bibliometric Enrichment: Automatically retrieves and integrates metadata from external sources:
Citation-Reference Linking: Implements sophisticated matching algorithms to connect in-text citations with their corresponding references, handling various citation styles and ambiguous cases
Context-Aware Analysis: Extracts the textual context surrounding each citation, enabling semantic analysis of how references are used throughout the document
Network Visualization: Creates interactive networks showing citation co-occurrence patterns and conceptual relationships within the document
PDF Document → Text Extraction → Citation Detection → Reference Parsing
↓
CrossRef/OpenAlex APIs
↓
Citation-Reference Matching → Enriched Dataset
↓
Network Analysis + Text Analytics + Bibliometric Indicators
The result is a rich, structured dataset that transforms a static PDF into an analyzable knowledge object, ready for: - Content analysis: Understanding what concepts and methods are discussed - Citation analysis: Examining how knowledge is constructed and referenced - Temporal analysis: Tracking the evolution of ideas through citation patterns - Network analysis: Visualizing intellectual connections - Readability assessment: Evaluating text complexity and accessibility
[1],
[1-3], [1,5,7](Smith, 2020),
(Smith et al., 2020)Smith (2020) demonstrated...(see Smith, 2020; Jones et al., 2021)You can install the development version from GitHub:
# install.packages("devtools")
devtools::install_github("massimoaria/contentanalysis")Complete workflow analyzing a real scientific paper:
library(contentanalysis)The paper is an open access article by Aria et al.:
Aria, M., Cuccurullo, C., & Gnasso, A. (2021). A comparison among interpretative proposals for Random Forests. Machine Learning with Applications, 6, 100094.
paper_url <- "https://raw.githubusercontent.com/massimoaria/contentanalysis/master/inst/examples/example_paper.pdf"
download.file(paper_url, destfile = "example_paper.pdf", mode = "wb")doc <- pdf2txt_auto("example_paper.pdf",
n_columns = 2,
citation_type = "author_year")
#> Stripped running header (6 occurrences, 40 chars)
#> Using 17 sections from PDF table of contents
#> Found 16 sections: Preface, Introduction, Related work, Internal processing approaches, Random forest extra information, Visualization toolkits, Post-Hoc approaches, Size reduction, Rule extraction, Local explanation, Comparison study, Experimental design, Analysis, Conclusion, Acknowledgment, References
#> Normalized 77 references with consistent \n\n separators
# Check detected sections
names(doc)
#> [1] "Full_text" "Preface"
#> [3] "Introduction" "Related work"
#> [5] "Internal processing approaches" "Random forest extra information"
#> [7] "Visualization toolkits" "Post-Hoc approaches"
#> [9] "Size reduction" "Rule extraction"
#> [11] "Local explanation" "Comparison study"
#> [13] "Experimental design" "Analysis"
#> [15] "Conclusion" "Acknowledgment"
#> [17] "References"analysis <- analyze_scientific_content(
text = doc,
doi = "10.1016/j.mlwa.2021.100094",
mailto = "your@email.com",
citation_type = "author_year"
)
#> Extracting author-year citations only
#> Attempting to retrieve references from CrossRef...
#> Successfully retrieved 33 references from CrossRef
#> Fetching Open Access metadata for 14 DOIs from OpenAlex...
#> Successfully retrieved metadata for 13 references from OpenAlexThis single function call:
analysis$summary
#> $total_words_analyzed
#> [1] 3453
#>
#> $unique_words
#> [1] 1310
#>
#> $citations_extracted
#> [1] 49
#>
#> $narrative_citations
#> [1] 15
#>
#> $parenthetical_citations
#> [1] 34
#>
#> $complex_citations_parsed
#> [1] 12
#>
#> $lexical_diversity
#> [1] 0.3793802
#>
#> $average_citation_context_length
#> [1] 3230.429
#>
#> $citation_density_per_1000_words
#> [1] 6.47
#>
#> $references_parsed
#> [1] 33
#>
#> $citations_matched_to_refs
#> [1] 42
#>
#> $match_quality
#> # A tibble: 3 × 3
#> match_confidence n percentage
#> <chr> <int> <dbl>
#> 1 high 42 85.7
#> 2 no_match_author 6 12.2
#> 3 no_match_year 1 2
#>
#> $citation_type_used
#> [1] "author_year"readability <- calculate_readability_indices(doc$Full_text, detailed = TRUE)
readability
#> # A tibble: 1 × 12
#> flesch_kincaid_grade flesch_reading_ease automated_readability_index
#> <dbl> <dbl> <dbl>
#> 1 12.7 33.3 12.1
#> # ℹ 9 more variables: gunning_fog_index <dbl>, n_sentences <int>,
#> # n_words <int>, n_syllables <dbl>, n_characters <int>,
#> # n_complex_words <int>, avg_sentence_length <dbl>,
#> # avg_syllables_per_word <dbl>, pct_complex_words <dbl>analysis$citation_metrics$type_distribution
#> # A tibble: 11 × 3
#> citation_type n percentage
#> <chr> <int> <dbl>
#> 1 parsed_from_multiple 12 24.5
#> 2 author_year_basic 9 18.4
#> 3 narrative_etal 7 14.3
#> 4 author_year_and 6 12.2
#> 5 author_year_etal 3 6.12
#> 6 narrative_three_authors_and 3 6.12
#> 7 narrative_two_authors_and 3 6.12
#> 8 narrative_four_authors_and 2 4.08
#> 9 see_citations 2 4.08
#> 10 author_year_ampersand 1 2.04
#> 11 doi_pattern 1 2.04head(analysis$citation_contexts[, c("citation_text_clean", "section", "full_context")])
#> # A tibble: 6 × 3
#> citation_text_clean section full_context
#> <chr> <chr> <chr>
#> 1 (Mitchell, 1997) Introd… systems ide…
#> 2 https://doi.org/10.1016/j.mlwa.2021.100094 Introd… interpretat…
#> 3 (Breiman, 2001) Introd… random subs…
#> 4 (see Breiman, 1996) Introd… model that …
#> 5 (Hastie, supervised learning (Breiman, Friedman, Tibshir… Introd… by calculat…
#> 6 (Hastie et al., 2009) Introd… but it is n…Create interactive network visualizations showing how citations co-occur within your document:
# Create citation network
network <- create_citation_network(
citation_analysis_results = analysis,
max_distance = 800, # Max distance between citations (characters)
min_connections = 2, # Minimum connections to include a node
show_labels = TRUE
)
# Display interactive network
network
stats <- attr(network, "stats")
# Network size
cat("Nodes:", stats$n_nodes, "\n")
#> Nodes: 28
cat("Edges:", stats$n_edges, "\n")
#> Edges: 49
cat("Average distance:", stats$avg_distance, "characters\n")
#> Average distance: 245.4 characters
# Citations by section
print(stats$section_distribution)
#> primary_section n
#> 1 Related work 6
#> 2 Introduction 4
#> 3 Size reduction 4
#> 4 Experimental design 3
#> 5 Random forest extra information 3
#> 6 Visualization toolkits 3
#> 7 Local explanation 2
#> 8 Rule extraction 2
#> 9 Analysis 1
# Multi-section citations
if (nrow(stats$multi_section_citations) > 0) {
print(stats$multi_section_citations)
}
#> citation_text
#> 1 (Breiman, 2001)
#> 2 (Haddouchi & Berrado, 2019)
#> 3 (Meinshausen, 2010)
#> 4 (Deng, 2019)
#> sections n_sections
#> 1 Introduction, Random forest extra information 2
#> 2 Related work, Random forest extra information, Rule extraction 3
#> 3 Rule extraction, Comparison study, Analysis 3
#> 4 Rule extraction, Comparison study, Analysis 3The citation network visualization includes:
# Focus on very close citations only
network_close <- create_citation_network(
analysis,
max_distance = 300,
min_connections = 1
)
# Show only highly connected citations
network_hubs <- create_citation_network(
analysis,
max_distance = 1000,
min_connections = 5
)
# Hide labels for cleaner visualization
network_clean <- create_citation_network(
analysis,
show_labels = FALSE
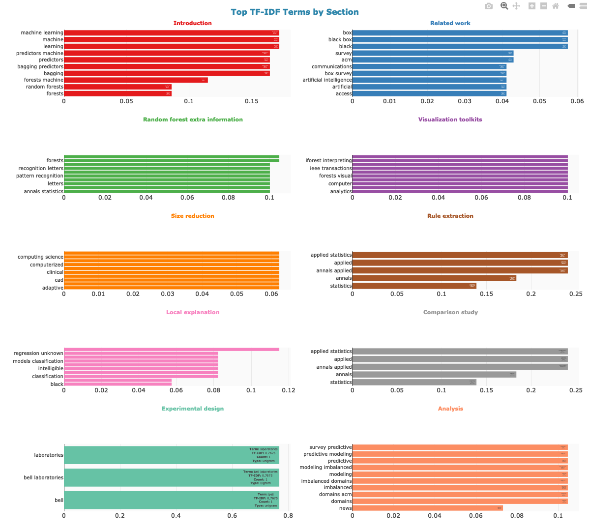
)Describe the thematic focus of each section’s bibliography using TF-IDF analysis of reference titles:
# Generate cluster descriptions
cluster_desc <- describe_citation_clusters(analysis, top_n = 10)
# View summary: top terms per section
cluster_desc$cluster_summary
#> # A tibble: 10 × 3
#> section n_references top_terms
#> <chr> <int> <chr>
#> 1 Introduction 4 learning, machine, machine lear…
#> 2 Related work 8 black, black box, box, acm, sur…
#> 3 Random forest extra information 5 forests, random forests, annals…
#> 4 Visualization toolkits 4 analytics, analytics ieee, comp…
#> 5 Size reduction 4 adaptive, adaptive diagnostic, …
#> 6 Rule extraction 2 annals applied, applied, applie…
#> 7 Local explanation 3 models, classification, classif…
#> 8 Comparison study 1 annals applied, applied, applie…
#> 9 Experimental design 3 bell, bell laboratories, labora…
#> 10 Analysis 3 domains, domains acm, imbalance…
# View detailed TF-IDF scores
cluster_desc$cluster_descriptions
#> # A tibble: 83 × 7
#> section ngram ngram_size n tf idf tf_idf
#> <chr> <chr> <int> <int> <dbl> <dbl> <dbl>
#> 1 Introduction learning 1 2 0.143 1.20 0.172
#> 2 Introduction machine 1 2 0.143 1.20 0.172
#> 3 Introduction machine learning 2 2 0.143 1.20 0.172
#> 4 Introduction bagging 1 1 0.0714 2.30 0.164
#> 5 Introduction bagging predictors 2 1 0.0714 2.30 0.164
#> 6 Introduction predictors 1 1 0.0714 2.30 0.164
#> 7 Introduction predictors machine 2 1 0.0714 2.30 0.164
#> 8 Introduction forests machine 2 1 0.0714 1.61 0.115
#> 9 Introduction forests 1 1 0.0714 1.20 0.0860
#> 10 Introduction random forests 2 1 0.0714 1.20 0.0860
#> # ℹ 73 more rowsCreate interactive plotly visualizations that complement the citation network:
1. TF-IDF terms per section (2-column grid layout)

2. Heatmap: terms vs sections (unique vs shared terms)

3. References per section

The TF-IDF bar chart uses a 2-column grid layout with color-coded section titles for a compact, readable overview. All plots display sections in the order they appear in the paper, use consistent styling, and include interactive hover information. Colors match the section colors used in the citation network.
method_terms <- c("machine learning", "regression", "validation", "dataset")
word_dist <- calculate_word_distribution(doc, method_terms)
head(analysis$word_frequencies, 10)
#> # A tibble: 10 × 4
#> word n frequency rank
#> <chr> <int> <dbl> <int>
#> 1 model 45 0.0130 1
#> 2 forest 42 0.0122 2
#> 3 accuracy 40 0.0116 3
#> 4 trees 38 0.0110 4
#> 5 random 34 0.00985 5
#> 6 learning 27 0.00782 6
#> 7 set 27 0.00782 7
#> 8 variable 26 0.00753 8
#> 9 data 25 0.00724 9
#> 10 rule 25 0.00724 10head(analysis$network_data)
#> # A tibble: 6 × 5
#> citation1 citation2 distance type1 type2
#> <chr> <chr> <int> <chr> <chr>
#> 1 (Mitchell, 1997) https://… 734 auth… doi_…
#> 2 (Breiman, 2001) (see Bre… 318 auth… see_…
#> 3 (Breiman, 2001) (Hastie,… 734 auth… auth…
#> 4 (see Breiman, 1996) (Hastie,… 398 see_… auth…
#> 5 (see Breiman, 1996) (Hastie … 685 see_… auth…
#> 6 (Hastie, supervised learning (Breiman, Friedma… (Hastie … 210 auth… auth…# View parsed references (enriched with CrossRef and OpenAlex)
head(analysis$parsed_references[, c("ref_first_author", "ref_year", "ref_journal", "ref_source")])
#> ref_first_author ref_year ref_journal ref_source
#> 1 Adadi 2018 IEEE Access crossref
#> 2 <NA> <NA> <NA> crossref
#> 3 Branco 2016 ACM Computing Surveys crossref
#> 4 Breiman 1996 Machine Learning crossref
#> 5 Breiman 2001 Machine Learning crossref
#> 6 Breiman 1984 International Group crossref
# Check data sources
table(analysis$parsed_references$ref_source)
#>
#> crossref
#> 33The ref_source column indicates where the data came
from:
"crossref": Retrieved from CrossRef API"parsed": Extracted from document’s reference
section# View citation-reference matches with confidence levels
library(dplyr)
#>
#> Attaching package: 'dplyr'
#> The following objects are masked from 'package:stats':
#>
#> filter, lag
#> The following objects are masked from 'package:base':
#>
#> intersect, setdiff, setequal, union
head(analysis$citation_references_mapping[, c("citation_text_clean", "ref_authors",
"ref_year", "match_confidence")])
#> # A tibble: 6 × 4
#> citation_text_clean ref_authors ref_year match_confidence
#> <chr> <chr> <chr> <chr>
#> 1 (Mitchell, 1997) Mitchell 1997 high
#> 2 https://doi.org/10.1016/j.mlwa.2021.100… <NA> <NA> no_match_year
#> 3 (Breiman, 2001) Breiman, L. 2001 high
#> 4 (see Breiman, 1996) Breiman, L. 1996 high
#> 5 (Hastie, supervised learning (Breiman, … Hastie 2009 high
#> 6 (Hastie et al., 2009) Hastie 2009 high
# Match quality distribution
table(analysis$citation_references_mapping$match_confidence)
#>
#> high no_match_author no_match_year
#> 42 6 1# Find all citations to works by Smith
analysis$citation_references_mapping %>%
filter(grepl("Smith", ref_authors, ignore.case = TRUE)) %>%
select(citation_text_clean, ref_full_text, match_confidence)
#> # A tibble: 0 × 3
#> # ℹ 3 variables: citation_text_clean <chr>, ref_full_text <chr>,
#> # match_confidence <chr># If OpenAlex data was retrieved
if (!is.null(analysis$references_oa)) {
# View enriched metadata
head(analysis$references_oa[, c("title", "publication_year", "cited_by_count",
"type", "oa_status")])
# Analyze citation impact
summary(analysis$references_oa$cited_by_count)
}
#> Min. 1st Qu. Median Mean 3rd Qu. Max.
#> 100 205 1056 12429 5399 119748analysis$citation_metrics$section_distribution
#> # A tibble: 15 × 3
#> section n percentage
#> <fct> <int> <dbl>
#> 1 Preface 0 0
#> 2 Introduction 6 12.2
#> 3 Related work 9 18.4
#> 4 Internal processing approaches 0 0
#> 5 Random forest extra information 6 12.2
#> 6 Visualization toolkits 4 8.16
#> 7 Post-Hoc approaches 0 0
#> 8 Size reduction 6 12.2
#> 9 Rule extraction 3 6.12
#> 10 Local explanation 5 10.2
#> 11 Comparison study 2 4.08
#> 12 Experimental design 4 8.16
#> 13 Analysis 4 8.16
#> 14 Conclusion 0 0
#> 15 Acknowledgment 0 0# Track disease-related terms
disease_terms <- c("covid", "pandemic", "health", "policy", "vaccination")
dist <- calculate_word_distribution(doc, disease_terms, use_sections = TRUE)
# View frequencies by section
dist %>%
select(segment_name, word, count, percentage) %>%
arrange(segment_name, desc(percentage))
#> # A tibble: 1 × 4
#> segment_name word count percentage
#> <chr> <chr> <int> <dbl>
#> 1 Conclusion health 1 0.331
# Visualize trends
#plot_word_distribution(dist, plot_type = "area", smooth = FALSE)pdf2txt_auto(): Import PDF with automatic section
detectionreconstruct_text_structured(): Advanced text
reconstructionextract_doi_from_pdf(): Extract DOI from PDF
metadataanalyze_scientific_content(): Comprehensive content and
citation analysis with API enrichmentparse_references_section(): Parse reference list from
textmatch_citations_to_references(): Match citations to
references with confidence scoringget_crossref_references(): Retrieve references from
CrossRef APIcreate_citation_network(): Create interactive citation
co-occurrence networkdescribe_citation_clusters(): Describe citation
clusters by section using TF-IDF on reference titlesplot_citation_clusters(): Create interactive plotly
visualizations of citation cluster descriptions (TF-IDF bars, heatmap,
references per section)calculate_readability_indices(): Compute readability
scores (Flesch, Gunning Fog, SMOG, Coleman-Liau)calculate_word_distribution(): Track word frequencies
across document sectionsreadability_multiple(): Batch readability analysis for
multiple documentsplot_word_distribution(): Interactive visualization of
word distribution across sectionsplot_citation_clusters(): Interactive TF-IDF bar
charts, heatmaps, and reference density plotsget_example_paper(): Download example paper for
testingmap_citations_to_segments(): Map citations to document
sections/segmentsThe package integrates with CrossRef’s REST API to retrieve structured bibliographic data:
https://api.crossref.org/works/{doi}/referencesmailto parameter)OpenAlex provides comprehensive scholarly metadata:
openalexR packageopenalexR::oa_apikey()Both CrossRef and OpenAlex offer a polite pool for
users who provide an email address. This gives you faster and more
reliable access compared to anonymous requests. Simply pass your email
via the mailto parameter:
analysis <- analyze_scientific_content(
text = doc,
doi = "10.xxxx/xxxxx",
mailto = "your@email.com" # Your email for polite pool access
)The mailto parameter is used by both CrossRef and
OpenAlex to route your requests through their polite pool, which
provides higher rate limits and priority access.
For heavier usage, OpenAlex offers a free API key that further increases rate limits (from 10 to 100 requests/second). This is recommended if you plan to analyze many documents in batch.
openalexR::oa_apikey("your-api-key-here")You can also add this to your .Rprofile so it’s
automatically set at startup:
# Add to ~/.Rprofile
openalexR::oa_apikey("your-api-key-here")Core: pdftools, dplyr, tidyr, stringr, tidytext, tibble, httr2, visNetwork, openalexR
Suggested: plotly, RColorBrewer, scales (for visualization)
If you use this package in your research, please cite:
Massimo Aria & Corrado Cuccurullo (2025). contentanalysis: Scientific Content and Citation Analysis from PDF Documents.
R package version 0.2.0.
https://doi.org/10.32614/CRAN.package.contentanalysis
GPL (>= 3)
Please report issues at: https://github.com/massimoaria/contentanalysis/issues
Contributions are welcome! Please feel free to submit a Pull Request.